
Tree is a discrete structure that represents hierarchical relationships between individual elements or nodes. A tree in which a parent has no more than two children is called a binary tree.
Definition − A Tree is a connected acyclic undirected graph. There is a unique path between every pair of vertices in $G$. A tree with N number of vertices contains $(N-1)$ number of edges. The vertex which is of 0 degree is called root of the tree. The vertex which is of 1 degree is called leaf node of the tree and the degree of an internal node is at least 2.
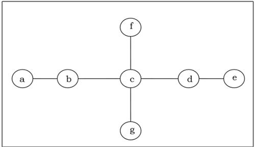
Example − The following is an example of a tree −
The center of a tree is a vertex with minimal eccentricity. The eccentricity of a vertex $X$ in a tree $G$ is the maximum distance between the vertex $X$ and any other vertex of the tree. The maximum eccentricity is the tree diameter. If a tree has only one center, it is called Central Tree and if a tree has only more than one centers, it is called Bi-central Tree. Every tree is either central or bi-central.
Step 1 − Remove all the vertices of degree 1 from the given tree and also remove their incident edges.
Step 2 − Repeat step 1 until either a single vertex or two vertices joined by an edge is left. If a single vertex is left then it is the center of the tree and if two vertices joined by an edge is left then it is the bi-center of the tree.
Problem 1
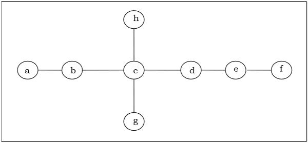
Find out the center/bi-center of the following tree −
Solution
At first, we will remove all vertices of degree 1 and also remove their incident edges and get the following tree −
Again, we will remove all vertices of degree 1 and also remove their incident edges and get the following tree −
Finally we got a single vertex ‘c’ and we stop the algorithm. As there is single vertex, this tree has one center ‘c’ and the tree is a central tree.
Problem 2
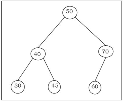
Find out the center/bi-center of the following tree −
Solution
At first, we will remove all vertices of degree 1 and also remove their incident edges and get the following tree −
Again, we will remove all vertices of degree 1 and also remove their incident edges and get the following tree −
Finally, we got two vertices ‘c’ and ‘d’ left, hence we stop the algorithm. As two vertices joined by an edge is left, this tree has bi-center ‘cd’ and the tree is bi-central.
Definition − A labeled tree is a tree the vertices of which are assigned unique numbers from 1 to n. We can count such trees for small values of n by hand so as to conjecture a general formula. The number of labeled trees of n number of vertices is $n^{n-2}$. Two labeled trees are isomorphic if their graphs are isomorphic and the corresponding points of the two trees have the same labels.
Definition − An unlabeled tree is a tree the vertices of which are not assigned any numbers. The number of labeled trees of n number of vertices is $\frac {(2n)!}{ (n+1)!n! }$ (nth Catalan number)
A rooted tree $G$ is a connected acyclic graph with a special node that is called the root of the tree and every edge directly or indirectly originates from the root. An ordered rooted tree is a rooted tree where the children of each internal vertex are ordered. If every internal vertex of a rooted tree has not more than m children, it is called an m-ary tree. If every internal vertex of a rooted tree has exactly m children, it is called a full m-ary tree. If $m = 2$, the rooted tree is called a binary tree.
Binary Search tree is a binary tree which satisfies the following property −
So, the value of all the vertices of the left sub-tree of an internal node $V$ are less than or equal to $V$ and the value of all the vertices of the right sub-tree of the internal node $V$ are greater than or equal to $V$. The number of links from the root node to the deepest node is the height of the Binary Search Tree.
BST_Search(x, k) if ( x = NIL or k = Value[x] ) return x; if ( k < Value[x]) return BST_Search (left[x], k); else return BST_Search (right[x], k)
| Average Case | Worst case | |
|---|---|---|
| Space Complexity | O(n) | O(n) |
| Search Complexity | O(log n) | O(n) |
| Insertion Complexity | O(log n) | O(n) |
| Deletion Complexity | O(log n) | O(n) |